• Предмет: Алгебра
  • Автор: yunchikov02
  • Вопрос задан 9 лет назад

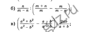
помогите решить примеры с объяснениями

Приложения:

Ответы

Ответ дал: анфиса66
0
применяем формулы сокращенного умножения. Разность квадратов и квадрат разности.
Приложения:
Ответ дал: yunchikov02
0
А МОЖЕШЬ РЕШИТЬ ЕЩЁ?
Вас заинтересует