Ответы
Ответ дал:
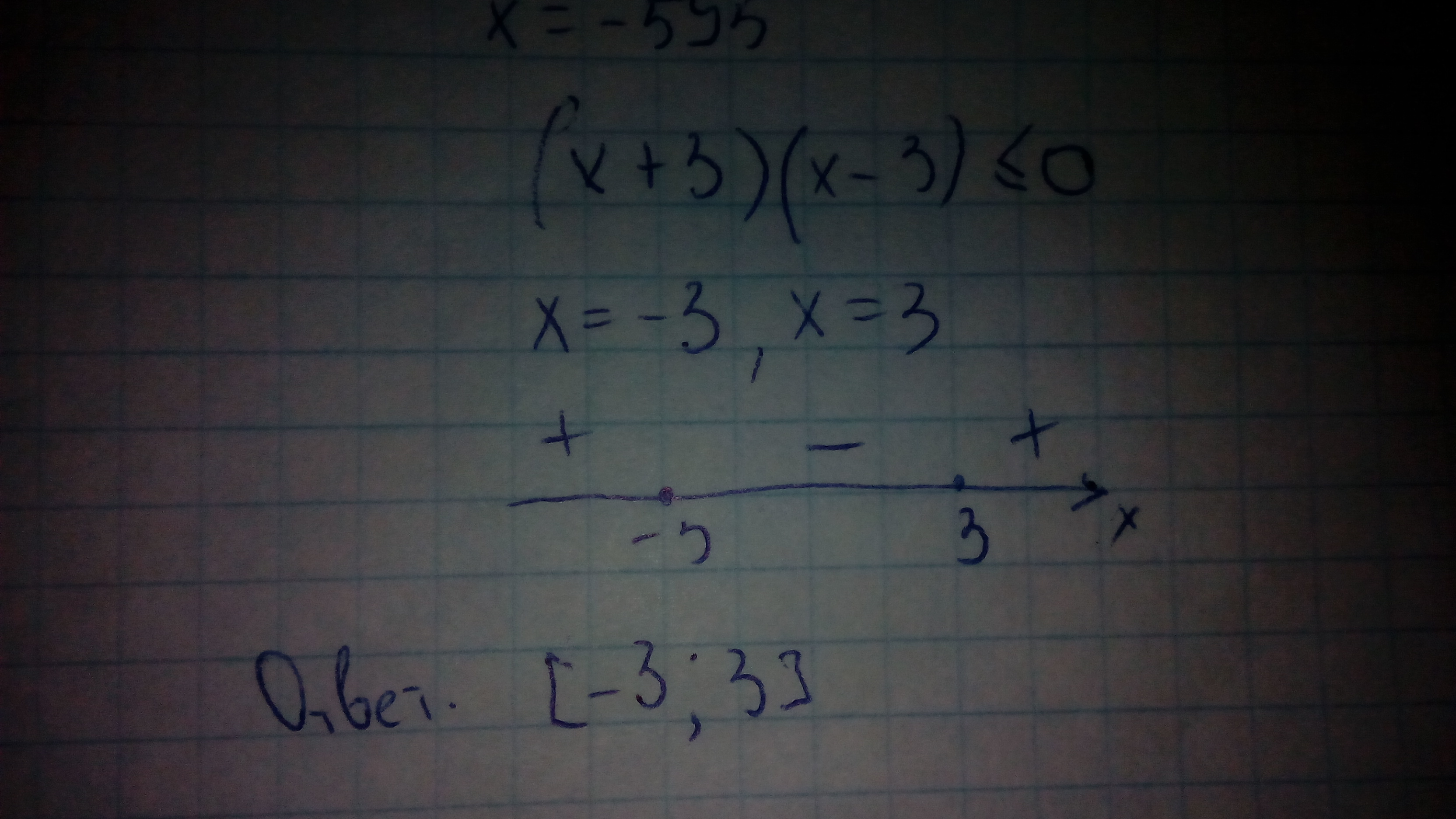
0
.....................
Приложения:

Вас заинтересует
7 лет назад
9 лет назад
9 лет назад
10 лет назад