• Предмет: Математика
  • Автор: Vladohka567
  • Вопрос задан 9 лет назад

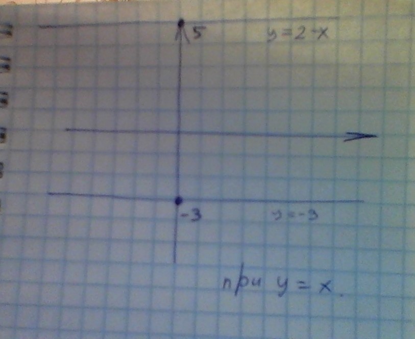
ООЧЕНЬ НАДО! 5. Постройте в одной координатной плоскости графики функций



У=-3; У=Х; У=2-Х

Ответы

Ответ дал: МусильдаФокс
0
вот ниже фото.....................
Приложения:
Ответ дал: Vladohka567
0
Спасибо!
Вас заинтересует