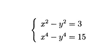
Помогите пожалуйста,решить уравнение методом замены переменой
СРООООЧНО НУЖНО
СПАСИБО!
Приложения:
Ответа на этот вопрос пока нет. Попробуйте найти его через форму поиска.
Вас заинтересует
3 года назад
7 лет назад
7 лет назад
10 лет назад
10 лет назад
10 лет назад