• Предмет: Физика
  • Автор: Grailom
  • Вопрос задан 9 лет назад

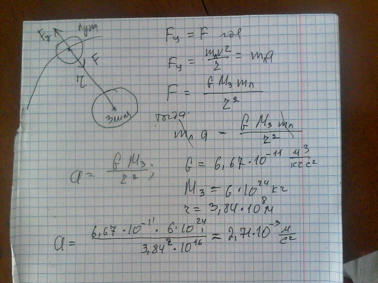
вычислите ускорение луны движущейся вокруг земли по окружности расстояние между центрами земли и луны пррмите равным 400000 км радиус земли 6400 км ( g3=10м/с)

Ответы

Ответ дал: ужнеужели
0

Тут 2 решения, первое удобное и точное, второе - то что требует условие задачи

Приложения:
Вас заинтересует