• Предмет: Математика
  • Автор: kristinatara
  • Вопрос задан 9 лет назад

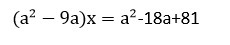
при якому значенні а рівняння немаэ коренів , маэ безліч коренів

Приложения:

Ответы

Ответ дал: lera1111111
0
Если а=9, то х - любое число 0х=0
не имеет корней не помню в каком случае.
Вас заинтересует