1Расположите элементы в порядке усиления их металлических свойств. Al, Na, Mg
2Определите вид химической связи в соединениях: NH3, MgO, l2, Na . Для третьего составьте схему образования
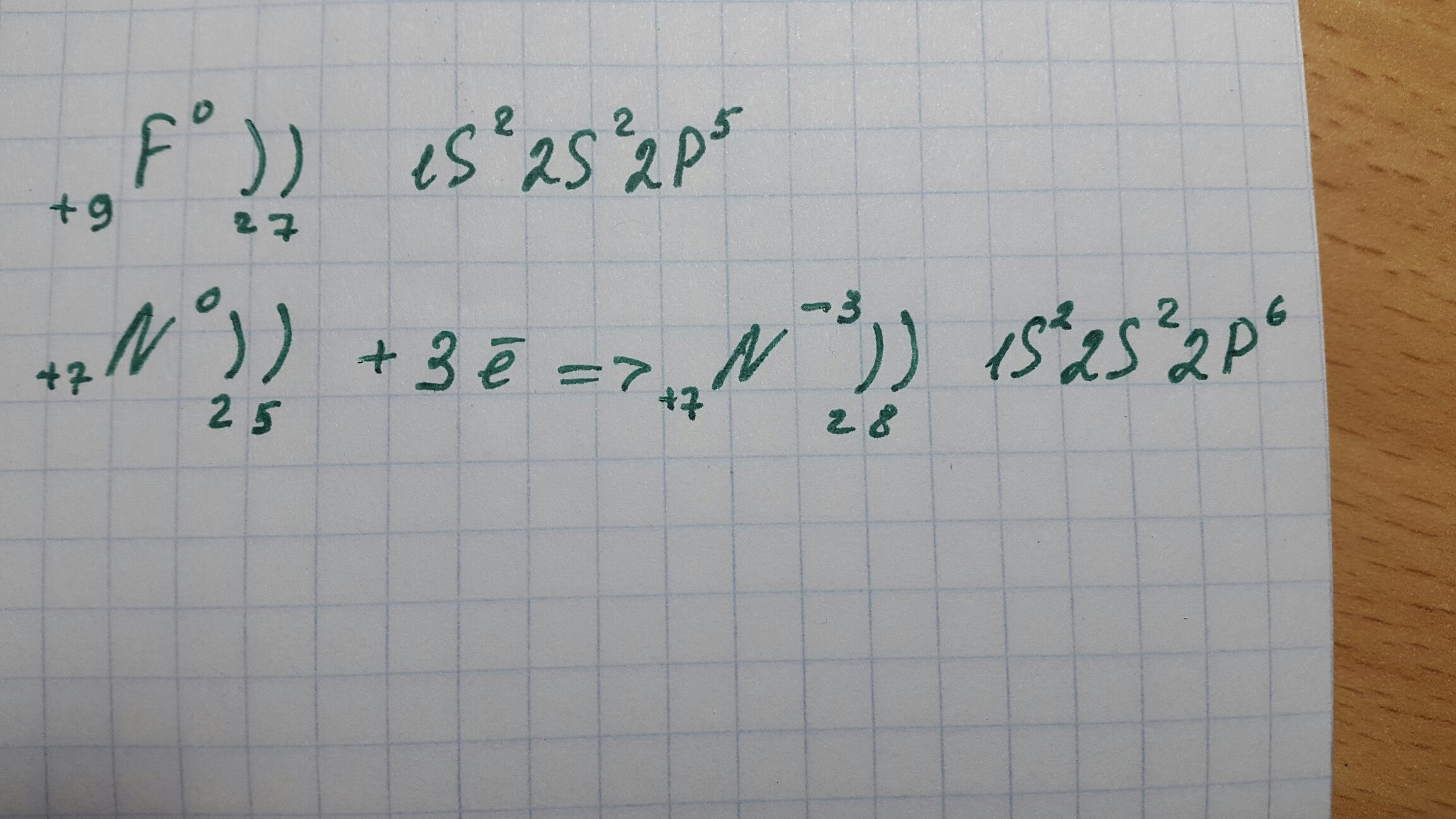
3 Изобразите схемы электронного строение Атома F с зарядом 0 и иона N с зарядом -3
Ответы
Ответ дал:
0
1.Na-Mg-Al слева направо металлические свойства усиливаются
2.NH3- ковал. полярная, MgO-ионная, I2- ковалентная непол., Na-металлическая
3. приложение
2.NH3- ковал. полярная, MgO-ионная, I2- ковалентная непол., Na-металлическая
3. приложение
Приложения:

Вас заинтересует
2 года назад
2 года назад
7 лет назад
7 лет назад
9 лет назад
10 лет назад