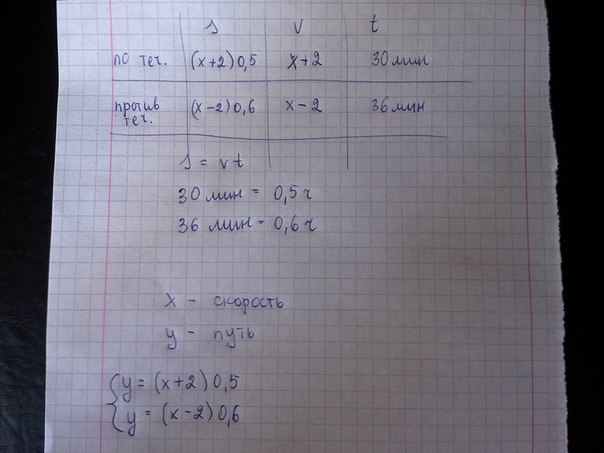
Катер проплыл от одной пристани до другой против течения реки за 36 мин. На обратный путь он затратил на 6 мин меньше. Найдите Собственную скорость катера и расстояние между пристанями, если скорость течения реки 2 км/ч. ?Cоставьте только систему уравнений решать ее не надо.
Ответы
Ответ дал:
11
Возможно неправильно, заранее извиняюсь)
Приложения:

Вас заинтересует
2 года назад
2 года назад
2 года назад
2 года назад
7 лет назад
7 лет назад
9 лет назад