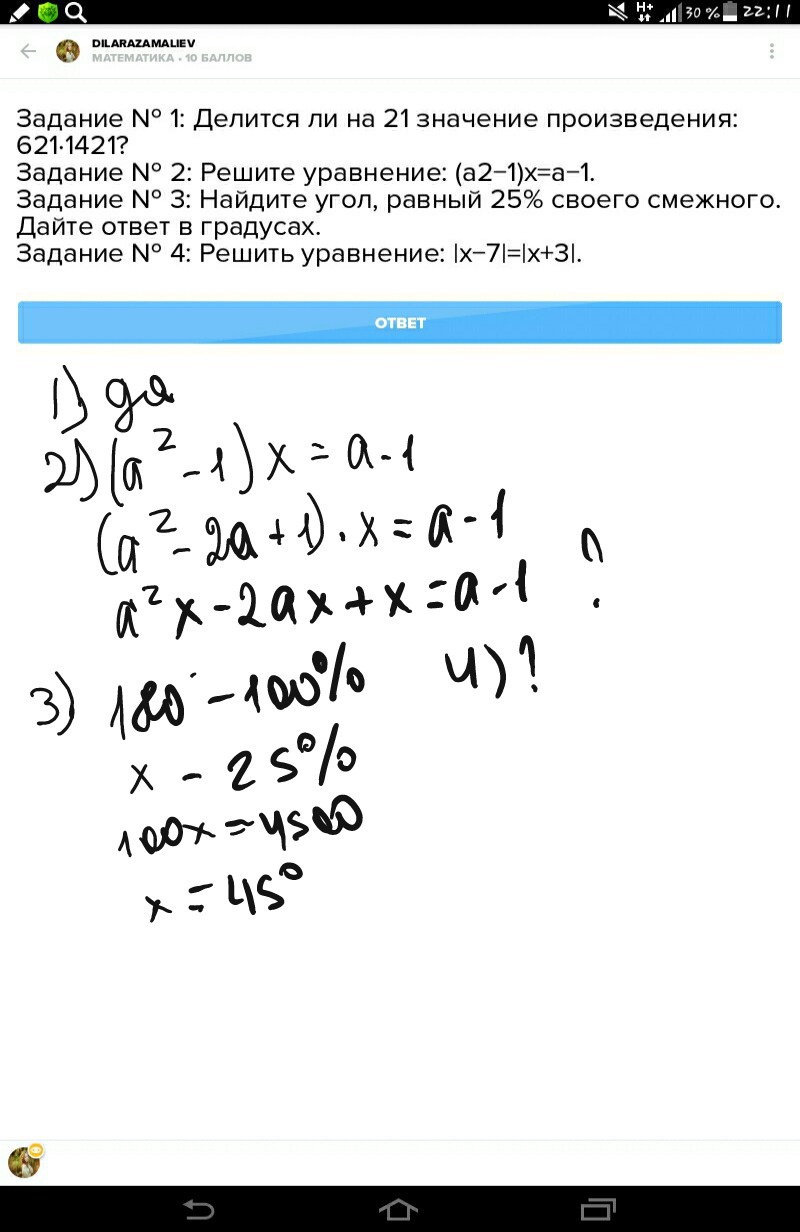
Задание № 1: Делится ли на 21 значение произведения: 621⋅1421?
Задание № 2: Решитe уравнение: (a2−1)x=a−1.
Задание № 3: Найдите угол, равный 25% своего смежного. Дайте ответ в градусах.
Задание № 4: Решить уравнение: |x−7|=|x+3|.
Ответы
Ответ дал:
0
3 не понял, там а в квадрате?
4 не помню как решать, давно этого не делал, там должен модуль раскрываться либо как положительный, либо как отрицательный. не помню, короче
чем смог, тем помог)
4 не помню как решать, давно этого не делал, там должен модуль раскрываться либо как положительный, либо как отрицательный. не помню, короче
чем смог, тем помог)
Приложения:
Вас заинтересует
3 года назад
10 лет назад
10 лет назад
10 лет назад