Ответы
Ответ дал:
0
а)x меньше или ровно 2/3
б)х больше 3,8
в) х больше или ровно -5
б)х больше 3,8
в) х больше или ровно -5
Ответ дал:
0
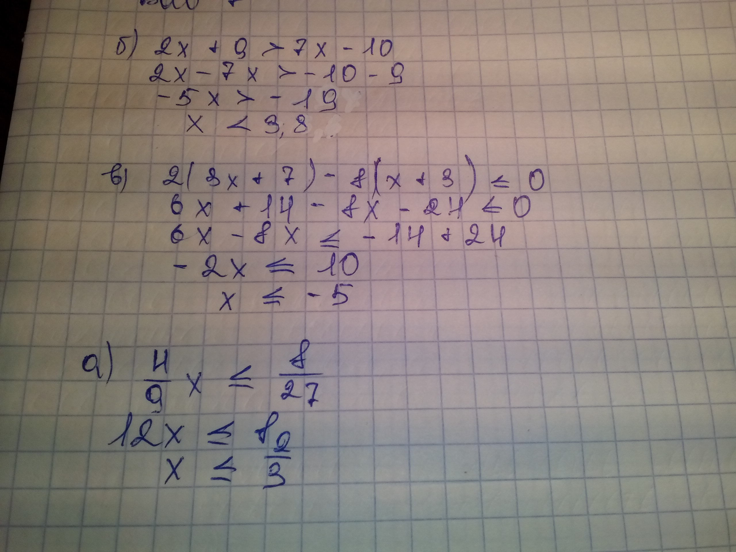
а) х меньше или равен 2/3
б) х меньше 3,8
в) х меньше или равен -5
б) х меньше 3,8
в) х меньше или равен -5
Приложения:

Вас заинтересует
2 года назад
7 лет назад
7 лет назад
9 лет назад
9 лет назад