• Предмет: Математика
  • Автор: bucky25
  • Вопрос задан 9 лет назад

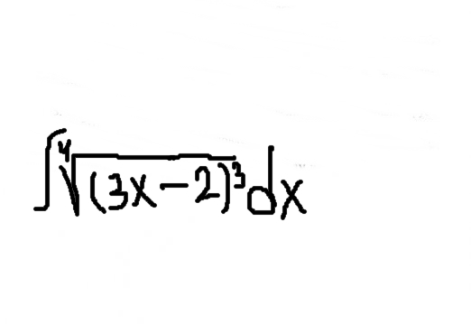
помогите решить интеграл, пожалуйста

Приложения:

Ответы

Ответ дал: yarovoe
0
∫⁴√(3х-2)³)dx=∫(3x-2)³/⁴dx=(3x-2)^(3/4+1)/3/4+1))/3+C=(3x-2)^(1,75)/1,75·3+C=
= (3x-2)^(7/3)/5,25+C=∛(3x-2)⁷/5,25+C
Вас заинтересует