• Предмет: Алгебра
  • Автор: vanya624
  • Вопрос задан 9 лет назад

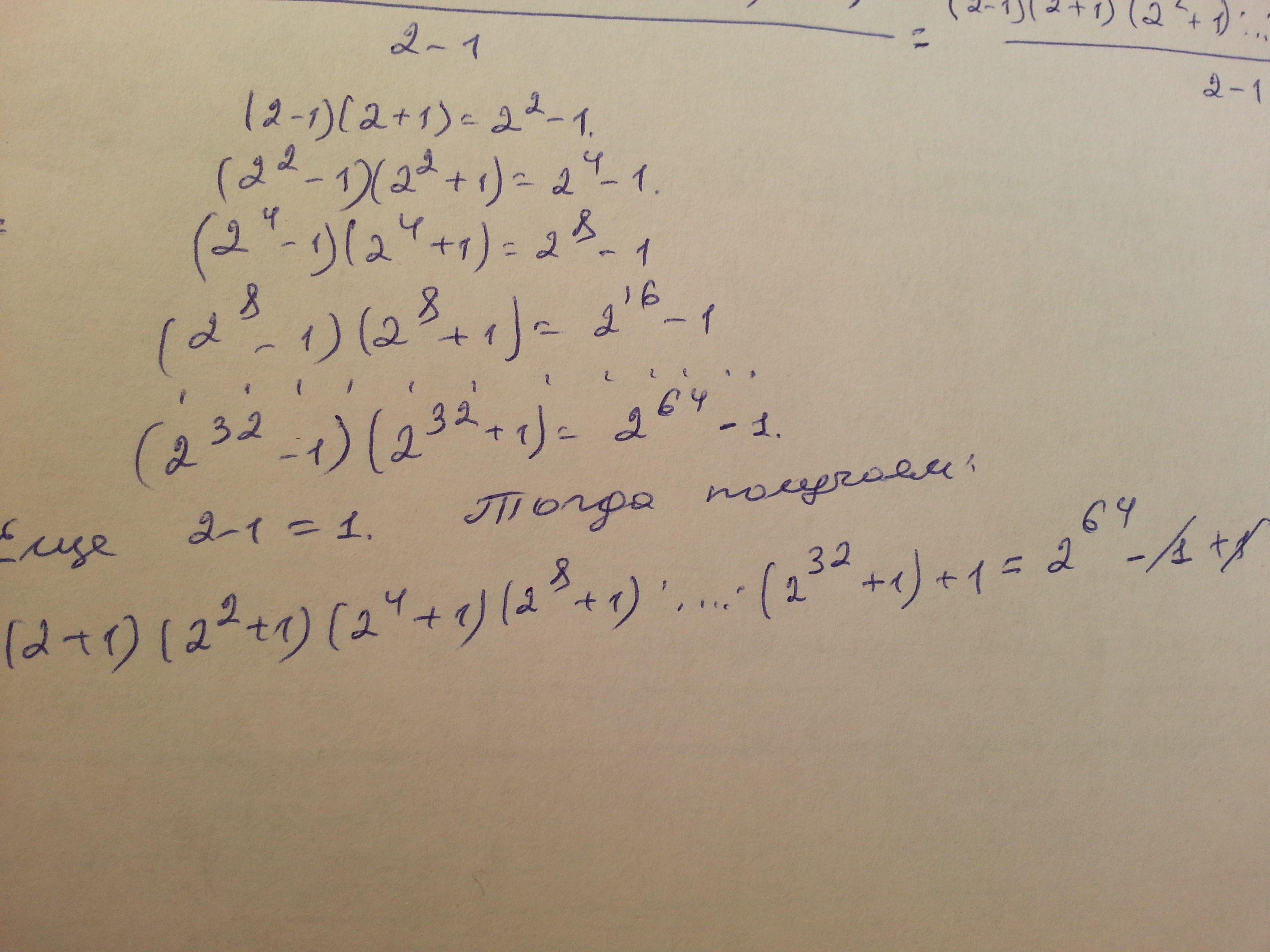
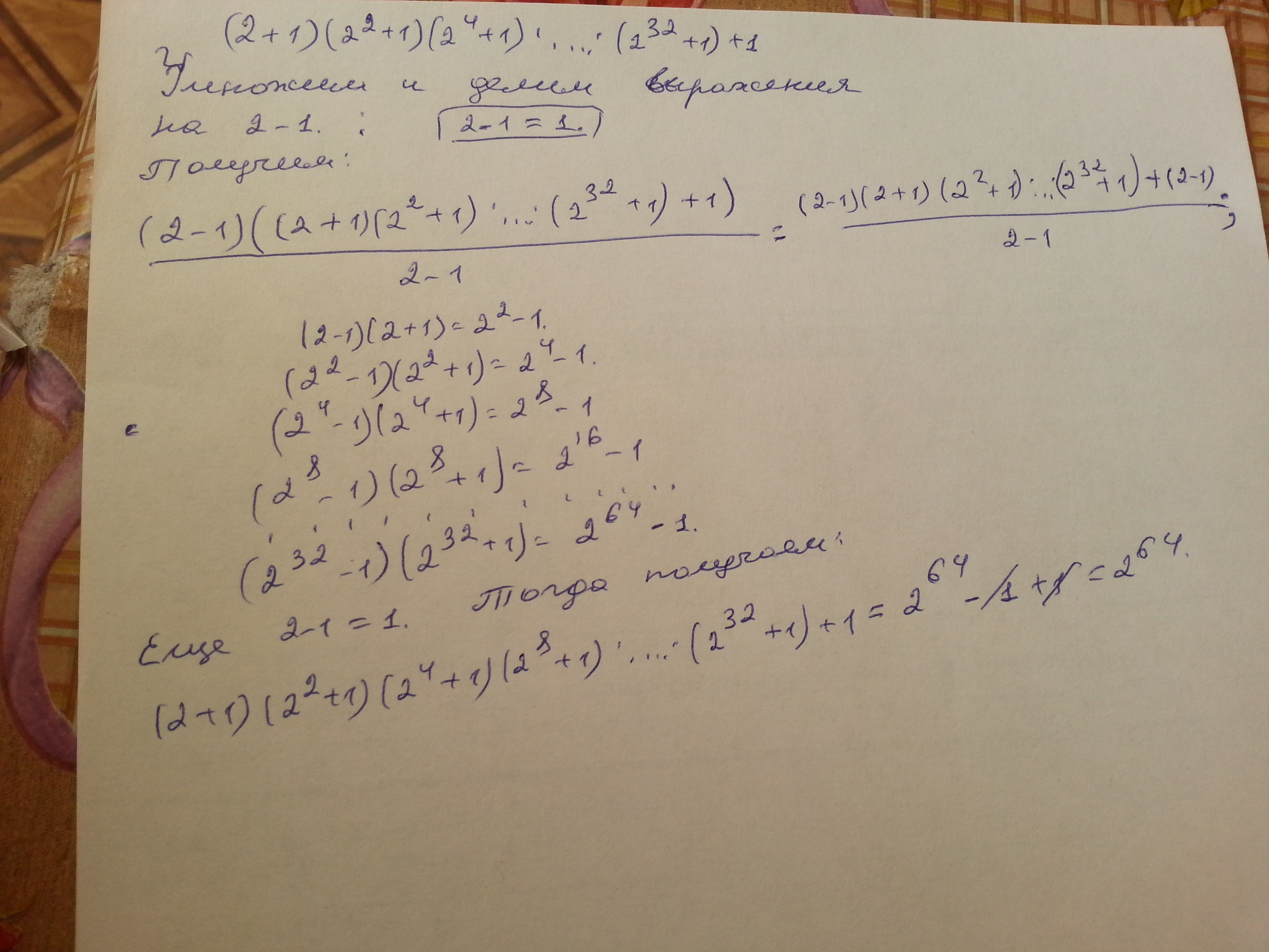
Упростить (2+1)(2²+1)(2⁴+1)×…×(2³²+1)+1

Ответы

Ответ дал: amin07am
0
/ / / / / / / / / / / / $ / / / / / / / / / / /
Приложения:
Вас заинтересует