• Предмет: Алгебра
  • Автор: AkiraHino
  • Вопрос задан 9 лет назад

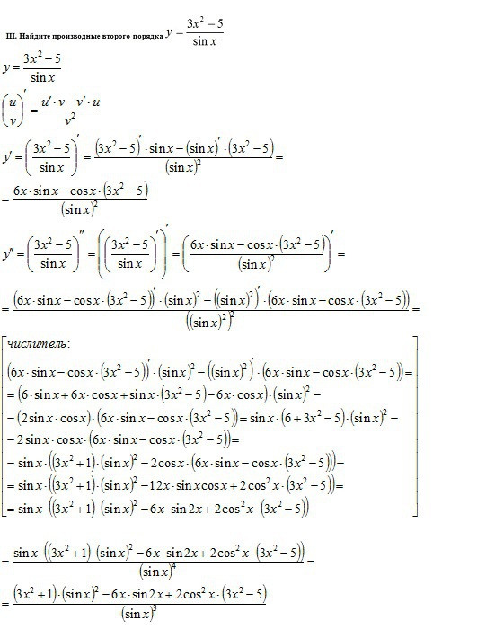
Помогите пожалуйста с решением)

Приложения:

Ответы

Ответ дал: kirichekov
0
решение во вложении-------------------
Приложения:
Ответ дал: AkiraHino
0
Прошу прощения, а как же второй порядок. Или это уже все решение?
Вас заинтересует