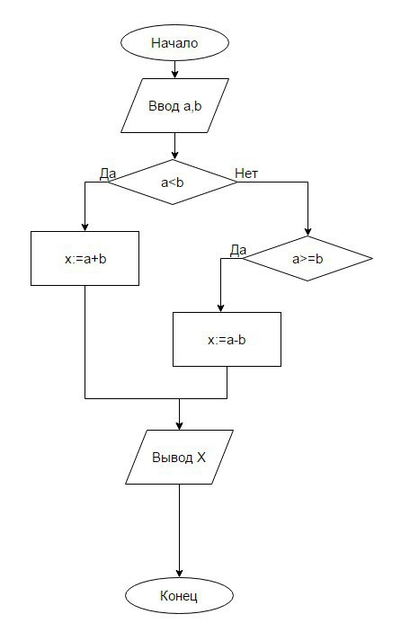
Решить блок-схему по информатике срочно !

Приложения:

Ответы

Ответ дал: Fr3sh21
0
Блок-схема в приложении
Приложения:

avdeevnikita20: Только + и - надо да или нет и вывод надо написать
avdeevnikita20: Переделайте
avdeevnikita20: пожалуйста
Вас заинтересует