• Предмет: Алгебра
  • Автор: SunRise1337a
  • Вопрос задан 9 лет назад

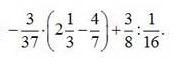
Вычислите. Помогите пожалуйста

Приложения:

Ответы

Ответ дал: Allusha1820
0
5 целых 257/259 ответ или 5.992277
Вас заинтересует