Ответы
Ответ дал:
0
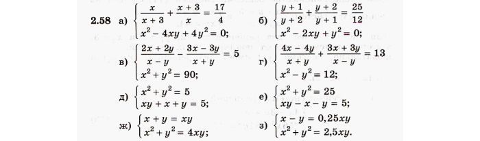
б)(у +1)/(у +2) = t
первое уравнение примет вид( возимся с ним)
t + 1/t = 25/12 | *12t
12t² +12 = 25t
12t² -25t +12 = 0
t₁ = 18/24 =3/4
t₂= 32/24 = 4/3
Возвращаемся к нашей подстановке:
(у +1)/(у +2) = t
1) (у +1)/(у +2) = 3/4
4у +4 = 3у +6
у = 2
2)(у +1)/(у +2) = 4/3
3у +3 = 4у +8
у=-5
Теперь найденные значения воткнём во 2-е уравнение:
х² - 2ху + у² = 0
(х - у)² = 0
х - у = 0
х = у
Можно писать ответ: (2;2); (-5;-5)
г) (4х -4у)/(х+у) + (3х +3у)/(х-у) =13
х² - у² = 12
Возимся с 1-м уравнением (приём тот же)
(х-у)/(х+у) = t
уравнение примет вид:
4t + 3/t = 13|*t
4t² +3 - 13t = 0
решаем: t₁ = 3, t₂ = 1/4
1)(х-у)/(х+у) = 3
х - у = 3х +3у
2х =-4у
х = -2у готова подстановка для 2-го уравнения.
2)(х-у)/(х+у) = 1/4
4х -4у = х+у
3х = 5у тоже подстановку для 2-го уравнения используем.(у = 3х/5)
Теперь 2-е уравнение:
х² - у² =12
4у² - у² = 12
3у² = 12
у² = 4
у = +-2 (х = -2у) , х = -+4 Это с 1-й подстановкой
х² - у² =12
х² - 9х²/25 = 12
16/25 х² = 12
х² = 75/4
х = +- 5√3/2
у =3х/5
у = +-3√3/2
Собираем в кучу ответы: а) у = +-2 ; х = -+4
б) у = +-3√3/2 ; х = +- 5√3/2
первое уравнение примет вид( возимся с ним)
t + 1/t = 25/12 | *12t
12t² +12 = 25t
12t² -25t +12 = 0
t₁ = 18/24 =3/4
t₂= 32/24 = 4/3
Возвращаемся к нашей подстановке:
(у +1)/(у +2) = t
1) (у +1)/(у +2) = 3/4
4у +4 = 3у +6
у = 2
2)(у +1)/(у +2) = 4/3
3у +3 = 4у +8
у=-5
Теперь найденные значения воткнём во 2-е уравнение:
х² - 2ху + у² = 0
(х - у)² = 0
х - у = 0
х = у
Можно писать ответ: (2;2); (-5;-5)
г) (4х -4у)/(х+у) + (3х +3у)/(х-у) =13
х² - у² = 12
Возимся с 1-м уравнением (приём тот же)
(х-у)/(х+у) = t
уравнение примет вид:
4t + 3/t = 13|*t
4t² +3 - 13t = 0
решаем: t₁ = 3, t₂ = 1/4
1)(х-у)/(х+у) = 3
х - у = 3х +3у
2х =-4у
х = -2у готова подстановка для 2-го уравнения.
2)(х-у)/(х+у) = 1/4
4х -4у = х+у
3х = 5у тоже подстановку для 2-го уравнения используем.(у = 3х/5)
Теперь 2-е уравнение:
х² - у² =12
4у² - у² = 12
3у² = 12
у² = 4
у = +-2 (х = -2у) , х = -+4 Это с 1-й подстановкой
х² - у² =12
х² - 9х²/25 = 12
16/25 х² = 12
х² = 75/4
х = +- 5√3/2
у =3х/5
у = +-3√3/2
Собираем в кучу ответы: а) у = +-2 ; х = -+4
б) у = +-3√3/2 ; х = +- 5√3/2
Ответ дал:
0
Извини, со временем напряг. честно, честно...
Ответ дал:
0
Все равно спасибо большое
Вас заинтересует
2 года назад
7 лет назад
10 лет назад
10 лет назад