Ответы
Ответ дал:
0
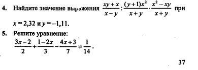
4.
Преобразуем выражение в другом редакторе и упрощаем.

5. НОК(2,3,7) = 42
= 21*(3х-2) + 14*(1-2х) - 6*(4х+3) = 3
Раскрываем скобки и упрощаем
63х - 42 + 14 - 28х - 24х - 18 = 3
(63-28-24)*х = 11х = 3 +42 -14 +18 = 49
11х = 49
х = 49/11 = 4 5/11 - ОТВЕТ
Преобразуем выражение в другом редакторе и упрощаем.
5. НОК(2,3,7) = 42
= 21*(3х-2) + 14*(1-2х) - 6*(4х+3) = 3
Раскрываем скобки и упрощаем
63х - 42 + 14 - 28х - 24х - 18 = 3
(63-28-24)*х = 11х = 3 +42 -14 +18 = 49
11х = 49
х = 49/11 = 4 5/11 - ОТВЕТ
Ответ дал:
0
Спасибо:3
Ответ дал:
0
Вас заинтересует
2 года назад
2 года назад
7 лет назад
10 лет назад
10 лет назад
10 лет назад
10 лет назад