• Предмет: Алгебра
  • Автор: НастяNM
  • Вопрос задан 9 лет назад

помогите ИЗ 5
все что сможите)
заранеее ОГРОМНОЕ спасибо)

Приложения:

Ответы

Ответ дал: hahaha2334
0
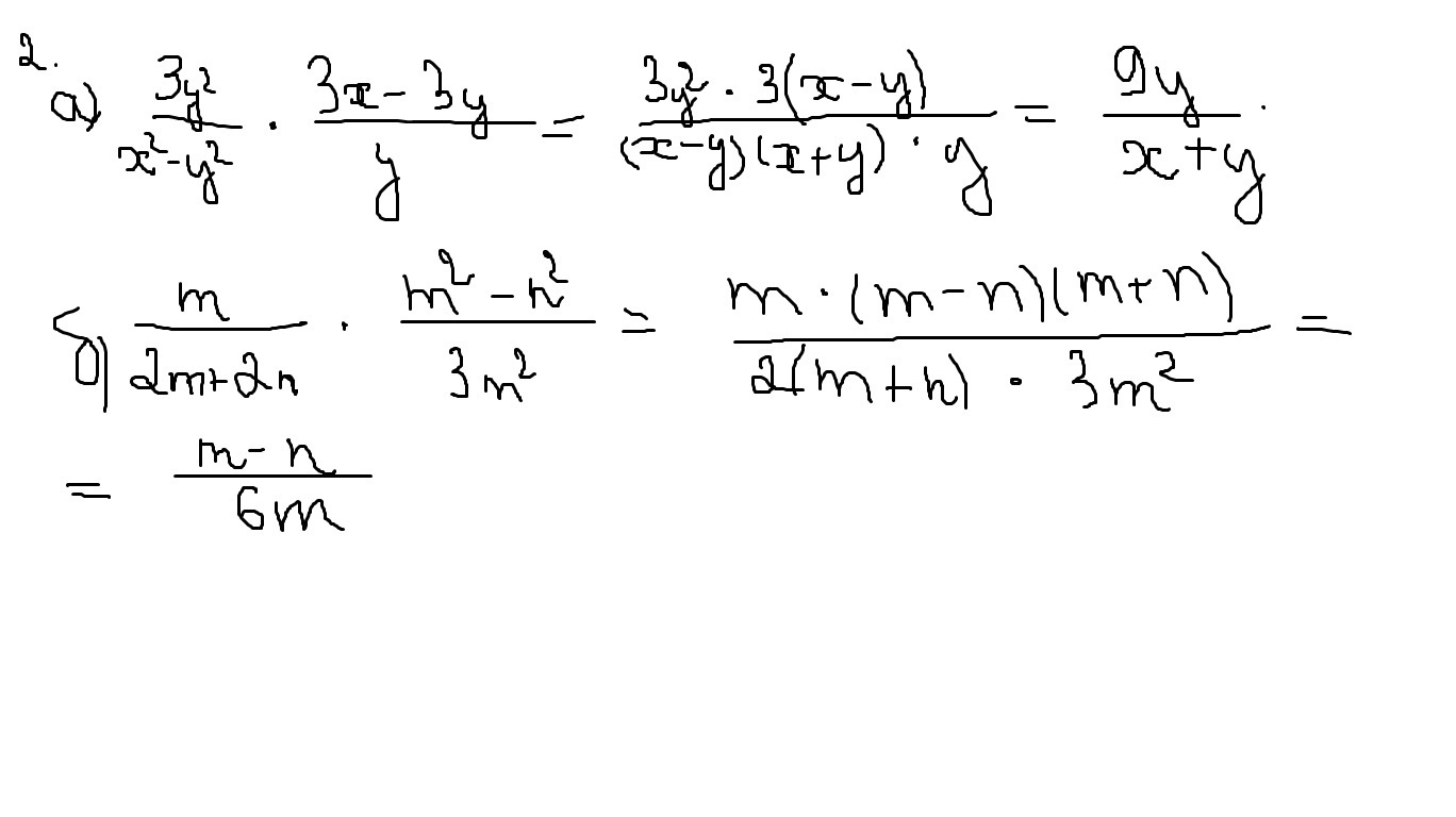
Вот,решила второе задание)))надеюсь там всё понятно, а то на компьютере было трудно это писать))
Приложения:
Вас заинтересует