• Предмет: Алгебра
  • Автор: nastenaskor
  • Вопрос задан 9 лет назад

Ответы: а) -15 б) 15 в) 2 г) 17

Приложения:

Ответы

Ответ дал: kirichekov
0
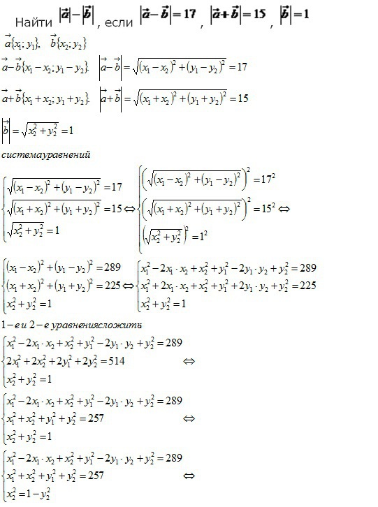
решение во вложении---------------
Приложения:
Вас заинтересует