• Предмет: Алгебра
  • Автор: mironowajanna2
  • Вопрос задан 9 лет назад

Найти значение выражения (корень93-2)^2

Ответы

Ответ дал: 90misha90
0
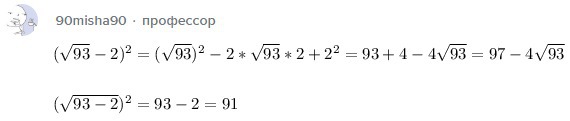
( sqrt{93}-2)^2=( sqrt{93} )^2-2* sqrt{93} *2+2^2=93+4-4 sqrt{93} =97-4 sqrt{93}

( sqrt{93-2} )^2=93-2=91

принтскрин во вложении
Приложения:
Ответ дал: mironowajanna2
0
Фото
Вас заинтересует