• Предмет: Математика
  • Автор: gasanovruslan2000
  • Вопрос задан 9 лет назад

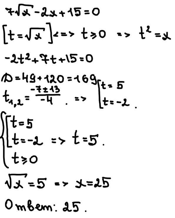
решите уравнение 7 sqrt{x} -2x+15=0

Ответы

Ответ дал: oOlDarknesslOo
0
Ответ: 25.
Решение на картинке.
Приложения:
Вас заинтересует