• Предмет: Математика
  • Автор: wishopss
  • Вопрос задан 9 лет назад

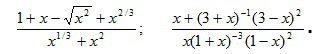
Вычислить пределы функций, если они существуют, при x->0 и при x->+-бесконечность и изобразить их графически

Приложения:

Ответы

Ответ дал: sergiomac1108
0
При х- больше 0 х есть (-;0)

Вас заинтересует