• Предмет: Алгебра
  • Автор: oletchka1
  • Вопрос задан 9 лет назад

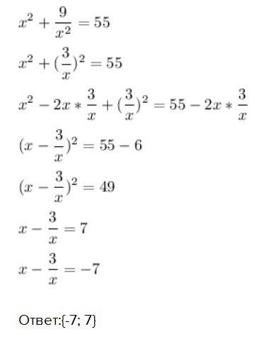
Известно, что х²+9/х²=55 Найдите значение выражения х - 3/х

Ответы

Ответ дал: Regent1828
0
displaystyle x^{2}+frac{9}{ x^{2}}=55 \  \x^{2}+(frac{3}{x})^{2}=55 \  \x^{2}-2x* frac{3}{x}+(frac{3}{x})^{2}=55-2x* frac{3}{x}  \  \ (x- frac{3}{x})^{2}=55-6 \  \  (x- frac{3}{x})^{2}=49 \  \ x- frac{3}{x}=7 \  \ x- frac{3}{x}=-7

Ответ:{-7; 7}
Приложения:
Вас заинтересует