• Предмет: Математика
  • Автор: Серрго
  • Вопрос задан 9 лет назад

Помогите решить пожалуйста!!!!!!!

Приложения:

Ответы

Ответ дал: aleksey2324
0
дак у теб решено!)))))
Ответ дал: oOlDarknesslOo
0
у меня есть мысля такая, что нужно сделать замену в этом уравнении, но вот для чего я не знаю
Ответ дал: oOlDarknesslOo
0
до меня доперло
Ответ дал: oOlDarknesslOo
0
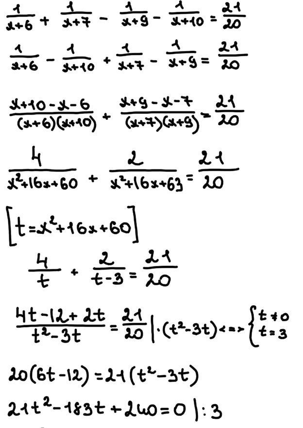
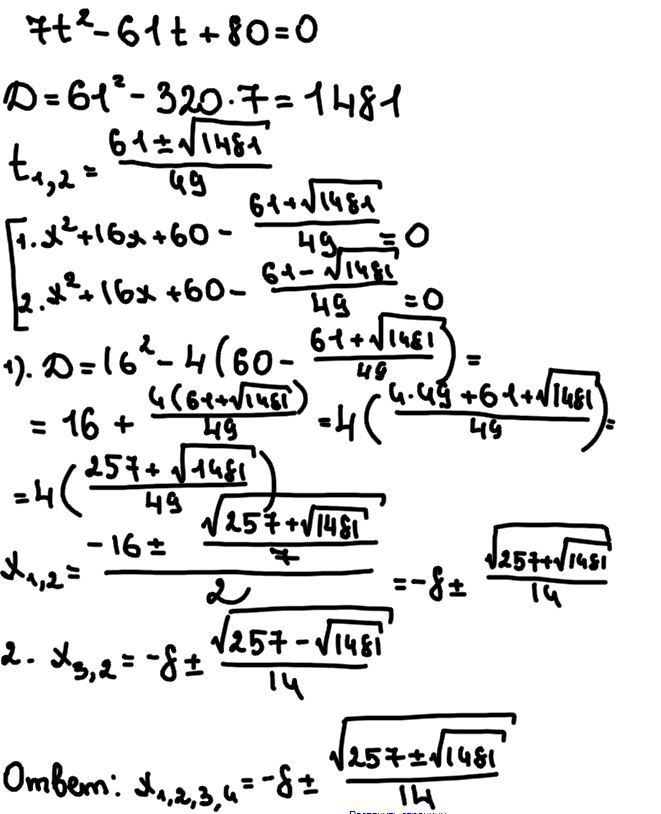
Я сомневаюсь в моем решении, так что если оно неправильное, то строго меня не суди.))
Решение на картинках.
Приложения:
Вас заинтересует