• Предмет: Математика
  • Автор: Аноним733
  • Вопрос задан 9 лет назад

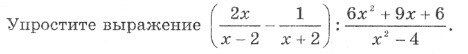
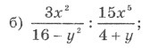
Помогите с алгеброй 8 класс

Приложения:

Ответы

Ответ дал: THeBeSTBoY
0
3x^2/16-y^2 * 4+y/15x^5
1/(4-y)*5x^3
1/20x^3 - 5yx^3
Вас заинтересует