Ответы
Ответ дал:
0
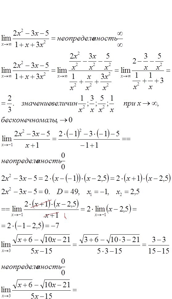
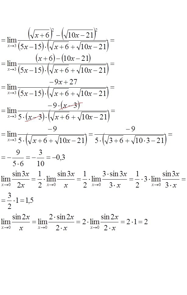
решение во вложении----------------
Приложения:



Ответ дал:
0
конечно могу. попробуйте решить самостоятельно остальные примеры. там же подобные я решила
Вас заинтересует
2 года назад
7 лет назад