• Предмет: Математика
  • Автор: abnormaldream
  • Вопрос задан 9 лет назад

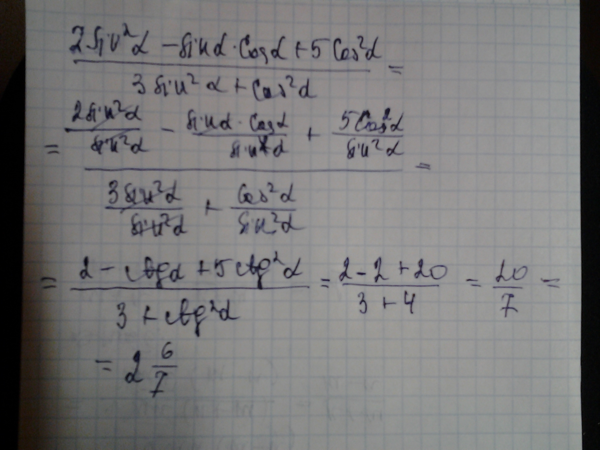
Найдите: (2sin^2 a- sin a* cos a+5cos^2 a)/3sin^2 a+cos^2 a , если ctg=2

Ответы

Ответ дал: okneret
0
Применены правила действий с алгебраическими дробями
Приложения:
Вас заинтересует