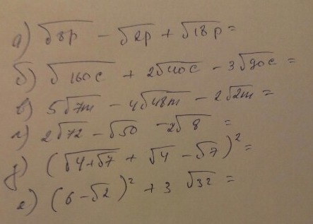
1) V8p - V2p + V18p
2)V160c + 2V40c - 3V90c
3) 5V7m - 4V48m - 2V2m
4) 2V72 - V50 - 2V8
(для тех, кому непонятен почерк)
Помогите решить примеры. Даю 94 балла.
Приложения:
Ответы
Ответ дал:
0
1
√8p-√2p+√18p=2√2p-√2p+3√2p=4√2p
2
√160c+2√40c-3√90c=4√10c+4√10c-9√10c=-√10c
3
5√7m-4√48m-2√2m=5√7m-16√3m-2√2m
4
2√72-√50-2√8=12√2-5√2-4√2=3√2
5


6
(6-√2)²+3√32=36+4-12√2+3*4√2=40-12√2+12√2=40
√8p-√2p+√18p=2√2p-√2p+3√2p=4√2p
2
√160c+2√40c-3√90c=4√10c+4√10c-9√10c=-√10c
3
5√7m-4√48m-2√2m=5√7m-16√3m-2√2m
4
2√72-√50-2√8=12√2-5√2-4√2=3√2
5
6
(6-√2)²+3√32=36+4-12√2+3*4√2=40-12√2+12√2=40
Вас заинтересует
3 года назад
3 года назад
7 лет назад
7 лет назад
10 лет назад
10 лет назад
10 лет назад