• Предмет: Алгебра
  • Автор: никита6365
  • Вопрос задан 9 лет назад

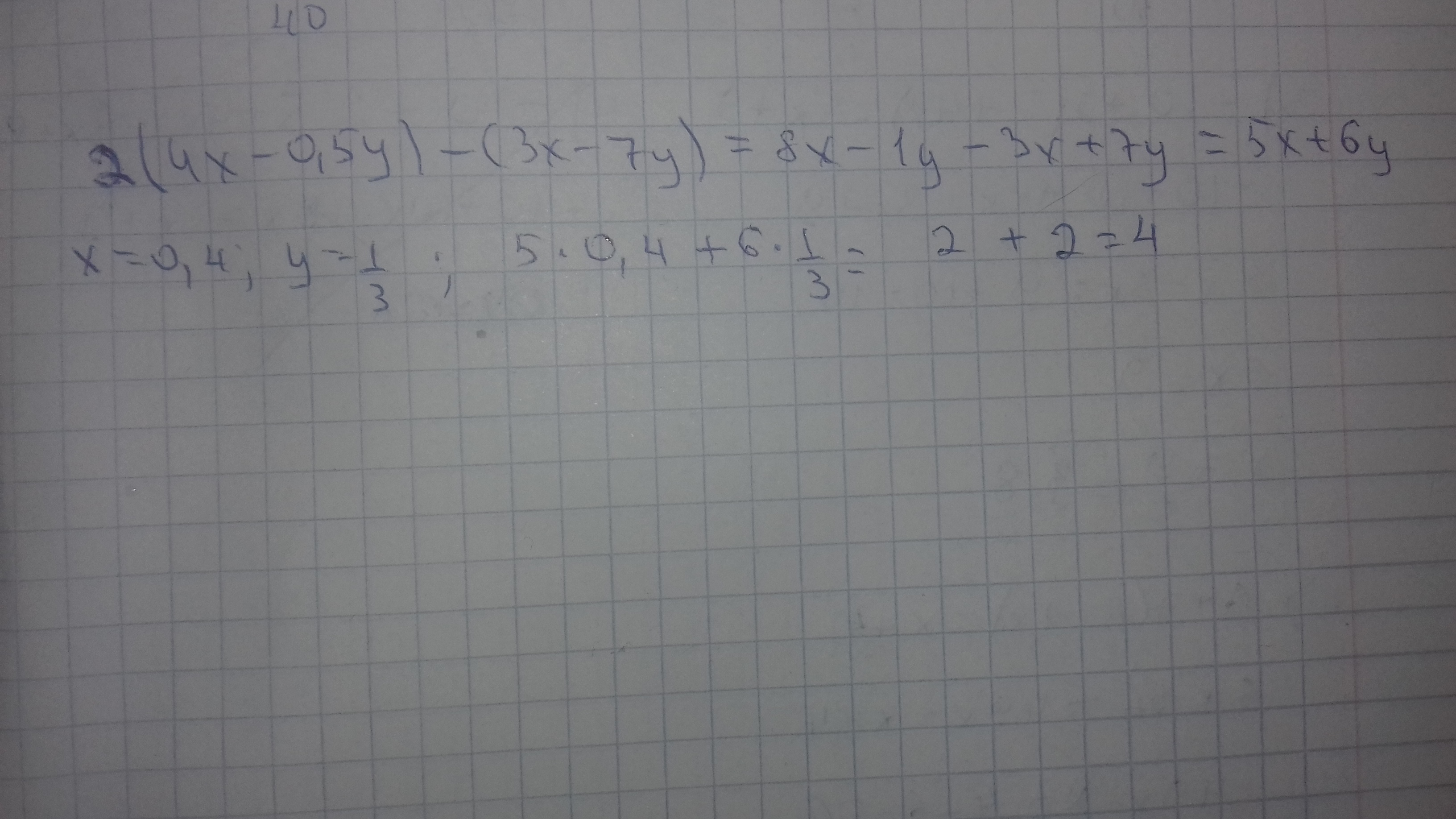
Упростите выражения и найдите его значение:
2(4х-0,5y)-(3х-7y),если х=0,4,y=1/3

Ответы

Ответ дал: aierke1
0
)))))))))))))))))))))))))
Приложения:
Ответ дал: Queen93
0
(8х-у)-(3х-7у)
8х-у-3х+7у
5х+6у
5*0,4+6*1/3
2+2=4
Приложения:
Вас заинтересует