• Предмет: Алгебра
  • Автор: Ineem
  • Вопрос задан 9 лет назад

Помогите найти значение выражения, срочно нужно!
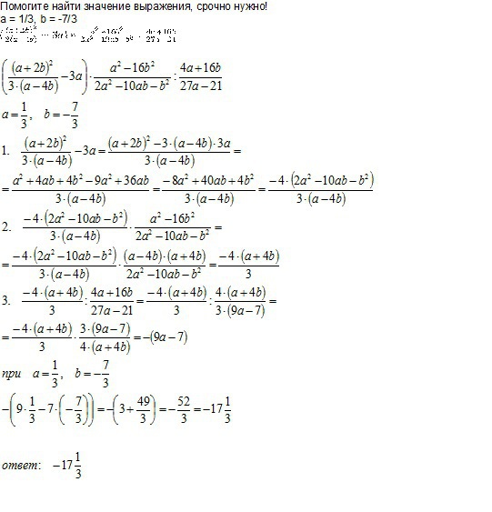
a = 1/3, b = -7/3
(frac{(a+2b)^{2} }{3(a-4b)} - 3a) * frac{a^{2}-16b^{2} }{2a^{2}-10ab- b^{2}} : frac{4a+16b}{27a-21}

Ответы

Ответ дал: kirichekov
0
решение во вложении----------------------
Приложения:
Вас заинтересует