• Предмет: Алгебра
  • Автор: Houuse
  • Вопрос задан 9 лет назад

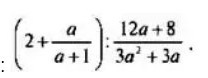
Выполните действия:
Ответ должен быть 3/4а

Приложения:

Ответы

Ответ дал: OllyMilly
0
.................................................
Приложения:
Вас заинтересует