• Предмет: Математика
  • Автор: polya108
  • Вопрос задан 9 лет назад

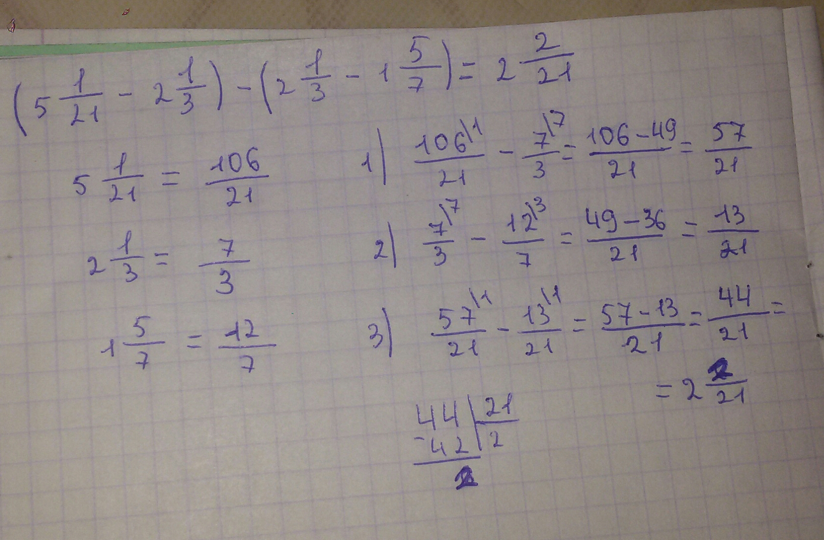
найдите значение выражения

Приложения:

Ответы

Ответ дал: Маринель15
0
Ну все просто вместо а подставлем заданное число и вычисляем (5 1/21 + 2 1/3 )=7 1/24. 2 1/3 - 1 5/7 = 4/7 = 7 1/24 - 4/7 = 6 6/17 на меня не надейся
Ответ дал: АндрейчукЛенка
0
вот вроде))))))))))))
Приложения:
Вас заинтересует