Помогите пж. Даю 30
Преобразуйте многочлен в многочлен стандартного вида. Укадите его степень:
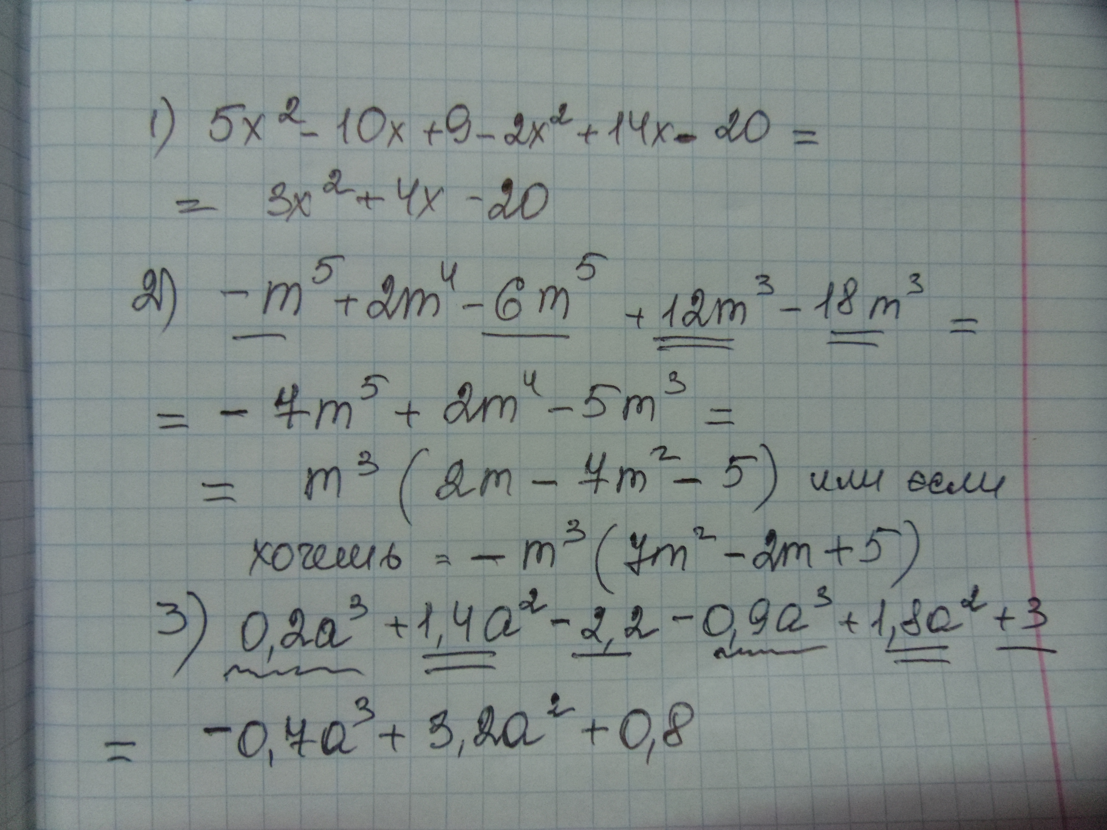
1) 5x^2-10x+9-2x^2+14x-20
2) -m^5+2m^4-6m^5+12m^3-18m^3
3) 0.2a^3+1.4a^2-2.2-0.9a^3+1.8a^2+3
4) 6x^2y-xy^2-8x^2y+2xy^2-xy+7
Ответы
Ответ дал:
0
решение во вложении......................
Приложения:


Ответ дал:
0
Спасибо
Вас заинтересует
2 года назад
7 лет назад
7 лет назад
9 лет назад
9 лет назад
10 лет назад