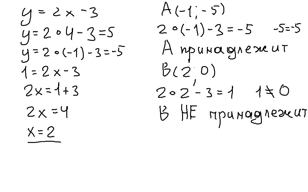
1. Постройте график функции у = 2х – 3.
а) Найдите значение функции, если значение аргумента равно 4, -1;
б) найдите значение аргумента, при котором значение функции равно 1, 8;
в) принадлежит ли графику функции точки А(-1; -5) и В(2; 0)
Ответы
Ответ дал:
0
Моя любимая тема)))))
Приложения:

Ответ дал:
0
а ты подставляешь 8=2x-3
Ответ дал:
0
2x=8+3
Ответ дал:
0
2x=11
Вас заинтересует
2 года назад
2 года назад
7 лет назад
7 лет назад
9 лет назад
9 лет назад
10 лет назад
10 лет назад