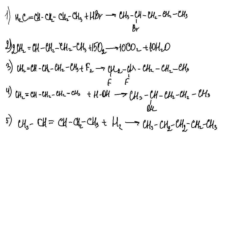
Составьте, пожалуйста, уравнения реакций:
1) пентен-1 + HBr
2) пентен-1 + O₂
3) пентен-1 + F₂
4) пентен-1 + H₂О
5) пентен-2 + H₂
Помогите, пожалуйста!!!!
Ответы
Ответ дал:
0
1) Гидрогалогенирование
2) Горение
3) Галогенирование
4) Гидратация
5) Гидрирование
2) Горение
3) Галогенирование
4) Гидратация
5) Гидрирование
Приложения:

Вас заинтересует
2 года назад
7 лет назад
7 лет назад
9 лет назад
9 лет назад
10 лет назад