• Предмет: Математика
  • Автор: Enderman531
  • Вопрос задан 9 лет назад

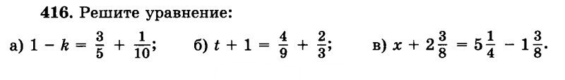
Помогите мне пожалуйста

Приложения:

Ответы

Ответ дал: ари31
0
А) 1-k= 3/5*2=6/10+1/10
1-k=7/10
K=1=10/10-7/10
k=3/10
Ответ дал: аружан0114
0
Б) t+1=49
t+1=49+69
t+1=109
t=19
Приложения:
Вас заинтересует