Ответы
Ответ дал:
0
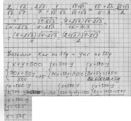
6. ОТвет: по 30 руб 375 кг, по 50 руб - 125 кг
Приложения:


Вас заинтересует
2 года назад
7 лет назад
9 лет назад
10 лет назад
10 лет назад