Помогите решиь даю 100 баллов
1)3sin(-П/2)-cos(-П)-3ctg(-П/4)
2)Постройте график
У=2sin(x+П)
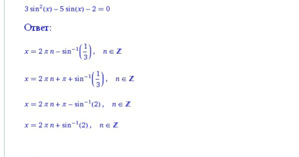
3)а)3sin^2x-5sinx-2=0
в)5cos^2x+6sinx-6=0
4) Определите в какой четверти
-826°
5)10sin(-П/3)-5cos(-П/3)-6ctg^2(-П/3)
Ответы
Ответ дал:
0
Остальные можешь решить в сайтах, где автоматически решают уравнения!
Приложения:

Вас заинтересует
2 года назад
2 года назад
7 лет назад
7 лет назад
9 лет назад
9 лет назад
10 лет назад
10 лет назад