Ответы
Ответ дал:
0
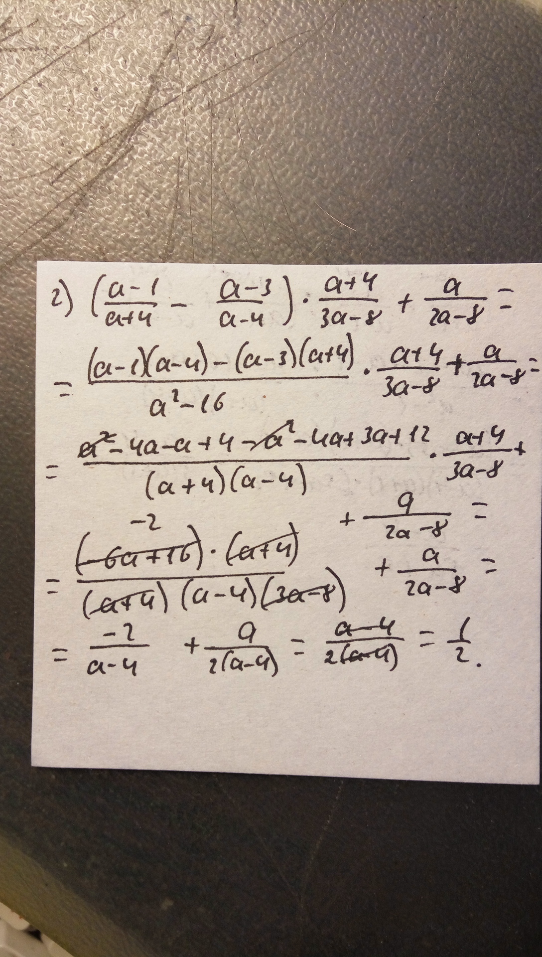
ответ в фото, смотри нмже
Приложения:


Ответ дал:
0
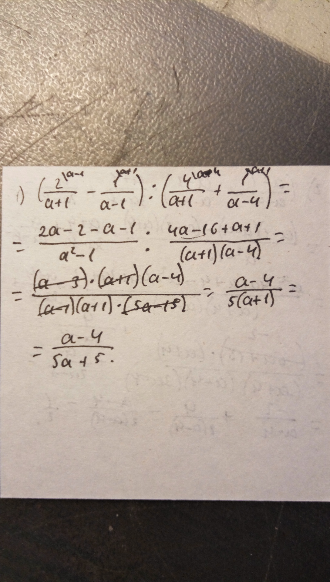
так
Ответ дал:
0
первая,фока не загрузилась
Ответ дал:
0
вот, все
Вас заинтересует
2 года назад
7 лет назад
9 лет назад
10 лет назад