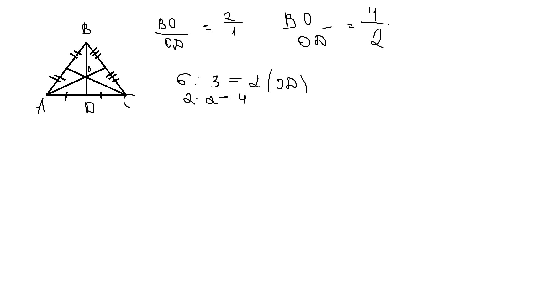
медиана треугольника равна 6 м на какие части она делиться точкой пересечения медиан треугольника?
РЕБЯТ РЕШИТЕ ПЛИЗ Я ВАС УМОЛЯЮ МНЕ ЩЯС ЧЕРЕЗ 12 МИН В ШКОЛУ
и плиз начертите рисунок
Ответы
Ответ дал:
0
2к 1
То есть 4 к 2
Это если я не ошибаюсь
То есть 4 к 2
Это если я не ошибаюсь
Приложения:
Вас заинтересует
3 года назад
7 лет назад
10 лет назад
10 лет назад
10 лет назад