Ответы
Ответ дал:
0
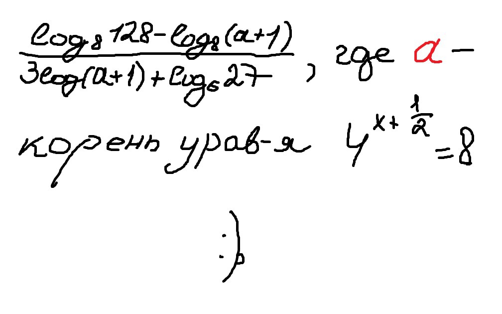
4^(x+1/2)=8
4^x *4^(1/2) =8
4^x *2 =4*2
4^x=4
x=1 --------> a=1
----------------------------------------------
Числитель:
=log8 (128/2) =log8 64=log8 8²=2
Знаменатель:
3log6 2 + log6 27 =log6(2³) +log6 27 =log6 (8*27) =log6 (216) =
=log6 (6³) =3
--------------------------------------------------
Всё выражение =2/3
4^x *4^(1/2) =8
4^x *2 =4*2
4^x=4
x=1 --------> a=1
----------------------------------------------
Числитель:
=log8 (128/2) =log8 64=log8 8²=2
Знаменатель:
3log6 2 + log6 27 =log6(2³) +log6 27 =log6 (8*27) =log6 (216) =
=log6 (6³) =3
--------------------------------------------------
Всё выражение =2/3
Вас заинтересует
3 года назад
3 года назад
7 лет назад
10 лет назад
10 лет назад
10 лет назад