• Предмет: Математика
  • Автор: stalker2016
  • Вопрос задан 9 лет назад

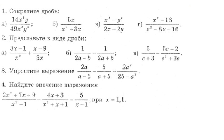
Помогите решить 3 и 4 вопросс дам 99 балов

Приложения:

Ответы

Ответ дал: Anna1488hh
0
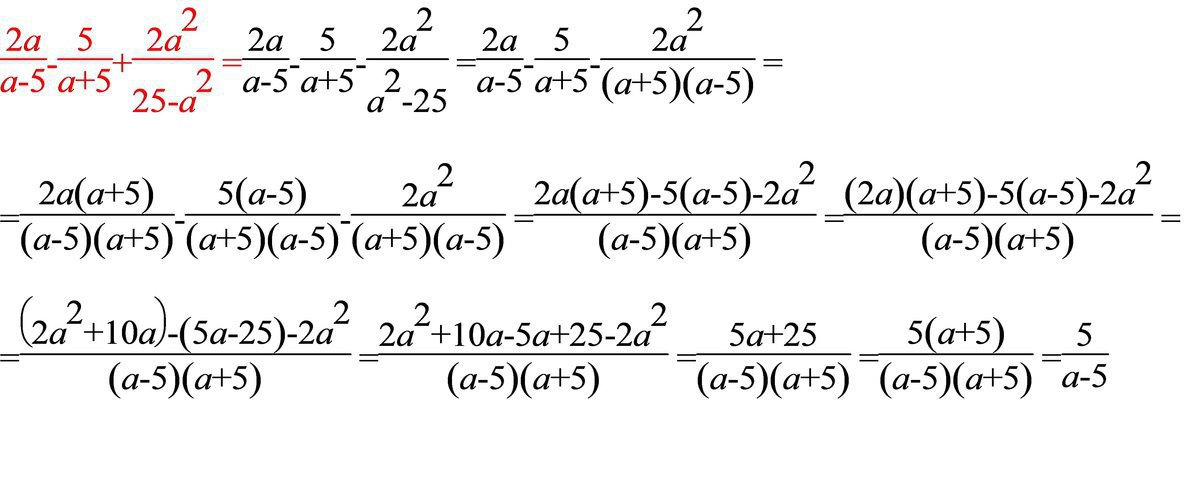
3 задание на картинке. четвертое ниже

5^2-3^4-1,1+4^3=4  Ответ 4
Приложения:
Вас заинтересует