• Предмет: Математика
  • Автор: васяапрос
  • Вопрос задан 9 лет назад

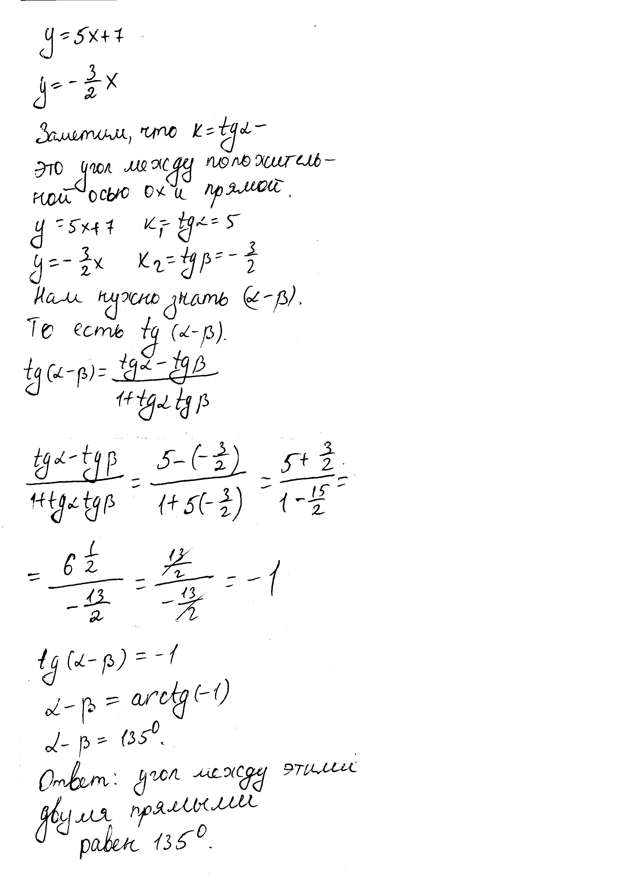
найти угол между прямыми y=5x+7 y=-3/2x

Приложения:

Ответы

Ответ дал: bearcab
0
Решение в приложении. Но вопрос не на 5 баллов)
Приложения:
Вас заинтересует