Ответы
Ответ дал:
0
2. б)
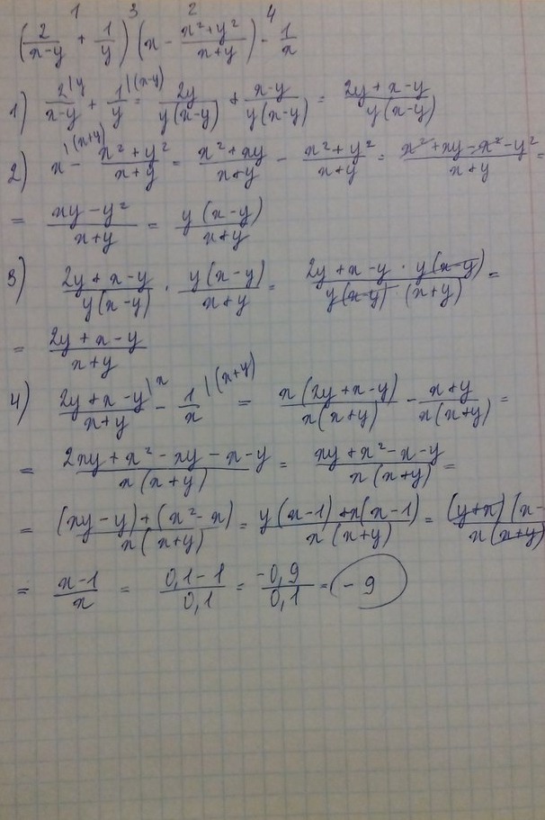
1е действие (2y +(x -y)) /y(x -y) =(x +y) /y(x -y)
2е действие (x(x+y) -x²-y²)) /(x +y) =
=(x² +xy -x² -y²) /(x+y) =y(x -y) /(x+y)
3e действие ((x+y)*y(x-y)) /y(x+y)(x+y) =
=(x -y) /(x+y)
4е действие (x-y)/(x+y) -1/x =
=(x(x -y) -(x+y)) /x(x+y) =(x²-xy-x-y)/x(x+y) =
=(0.1² -0.1*4 -0.1 -4) /0.1(0.1+4) = -449/100 *100/41 = -10 целых 39/41
1е действие (2y +(x -y)) /y(x -y) =(x +y) /y(x -y)
2е действие (x(x+y) -x²-y²)) /(x +y) =
=(x² +xy -x² -y²) /(x+y) =y(x -y) /(x+y)
3e действие ((x+y)*y(x-y)) /y(x+y)(x+y) =
=(x -y) /(x+y)
4е действие (x-y)/(x+y) -1/x =
=(x(x -y) -(x+y)) /x(x+y) =(x²-xy-x-y)/x(x+y) =
=(0.1² -0.1*4 -0.1 -4) /0.1(0.1+4) = -449/100 *100/41 = -10 целых 39/41
Ответ дал:
0
Источник: сама решала
Приложения:

Вас заинтересует
2 года назад
7 лет назад
7 лет назад
9 лет назад
9 лет назад
10 лет назад
10 лет назад