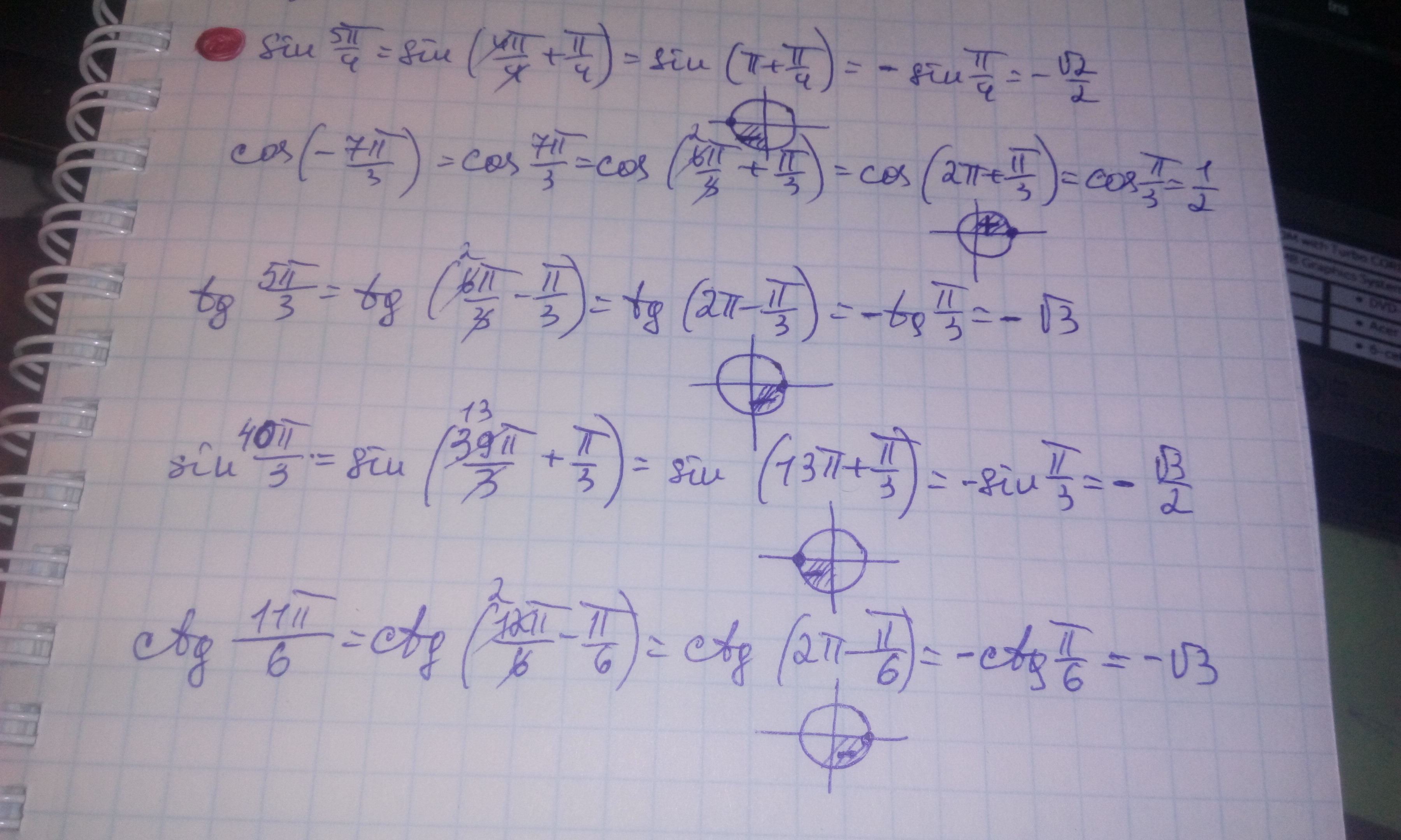
Вычислите с помощью формул приведения:
1)sin 5pi/4
2) cos(-7pi/3)
3) tg 5pi/3
4) sin 40pi/3
5)ctg 11pi/6
Помогите пожалуйста, буду ооочень благодарна!
Ответы
Ответ дал:
0
Решение дано на фото.
Приложения:
Ответ дал:
0
Решение на фотографии
Приложения:
Вас заинтересует
3 года назад
3 года назад
7 лет назад
7 лет назад
10 лет назад
10 лет назад
10 лет назад
10 лет назад