• Предмет: Алгебра
  • Автор: ggggraanat
  • Вопрос задан 9 лет назад

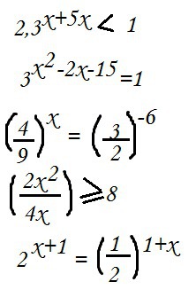
HELP! Неравенства, пожалуйста!!! Кто что сможет

Приложения:

Ответы

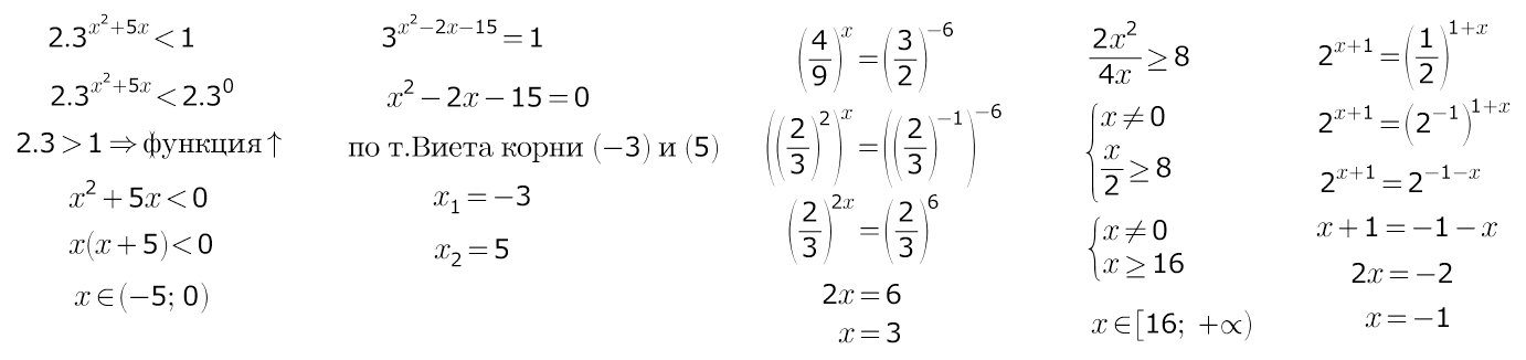
Ответ дал: LFP
0
в первом неравенстве похоже опечатка...
т.к. х+5х=6х
и в четвертом неравенстве возможно)))
странное оно... сократить можно))
Приложения:
Вас заинтересует