Ответы
Ответ дал:
0
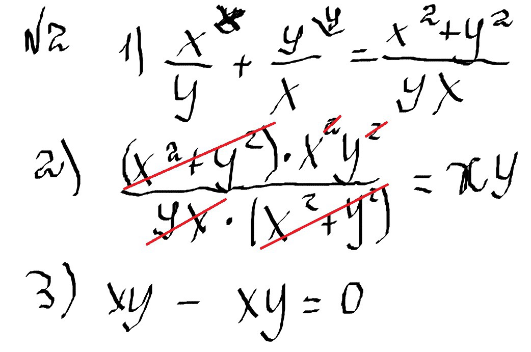
(ху+ух)*х²у²х²+у² -ху=(х²ух+у²ху)*х²у²х²+у² -ху=ху-ху=0
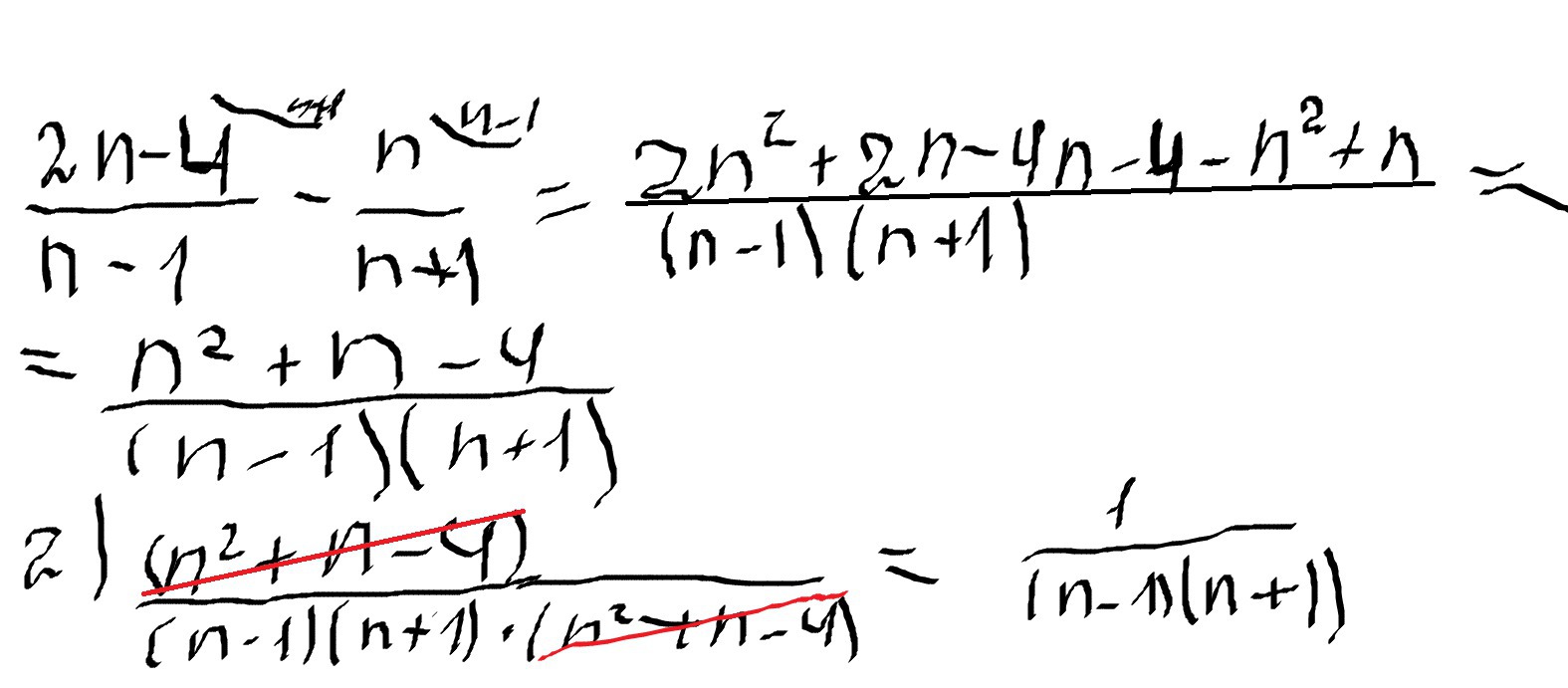
(2п-4)(п-1)- п(п+1)): (п²-п-4)=(2(п-2)(п+1)(п-1)(п+1) - п(п-1)(п+1)(п-1):(п²-п-4)=(п²-п-4)(п-1)(п+1) *1(п²-п-4)=1п²-1
(2п-4)(п-1)- п(п+1)): (п²-п-4)=(2(п-2)(п+1)(п-1)(п+1) - п(п-1)(п+1)(п-1):(п²-п-4)=(п²-п-4)(п-1)(п+1) *1(п²-п-4)=1п²-1
Ответ дал:
0
№2
при н=11
1/(11-1)*(11+1)=1/10*12=1/120
Отметь, как лучший ответ, пожалуйста)))
при н=11
1/(11-1)*(11+1)=1/10*12=1/120
Отметь, как лучший ответ, пожалуйста)))
Приложения:


Вас заинтересует
2 года назад
2 года назад
7 лет назад
9 лет назад
9 лет назад
10 лет назад