• Предмет: Алгебра
  • Автор: VasiliyVasilkov
  • Вопрос задан 9 лет назад

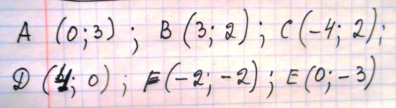
Найти координаты точек. (Номер 525)

Приложения:

Ответы

Ответ дал: BENNY111
0
Точка C (-4;2)
Точка F (-2;-2)
Точка A (0;3)
Точка B (3;2)
Точка D (4;0)
Точка E (0;-3)
Ответ дал: VasiliyVasilkov
0
Правильно, спасибо!
Ответ дал: miron2077
0
первая цифра - х, вторая - у
Приложения:
Вас заинтересует