Ответы
Ответ дал:
0
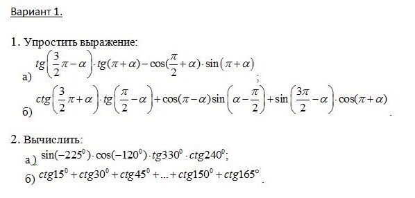
1)
a)ответ будет 0
б)cot(240)
a)ответ будет 0
б)cot(240)
Вас заинтересует
2 года назад
2 года назад
7 лет назад
7 лет назад
10 лет назад
10 лет назад
10 лет назад
10 лет назад