• Предмет: Алгебра
  • Автор: erbv666
  • Вопрос задан 9 лет назад

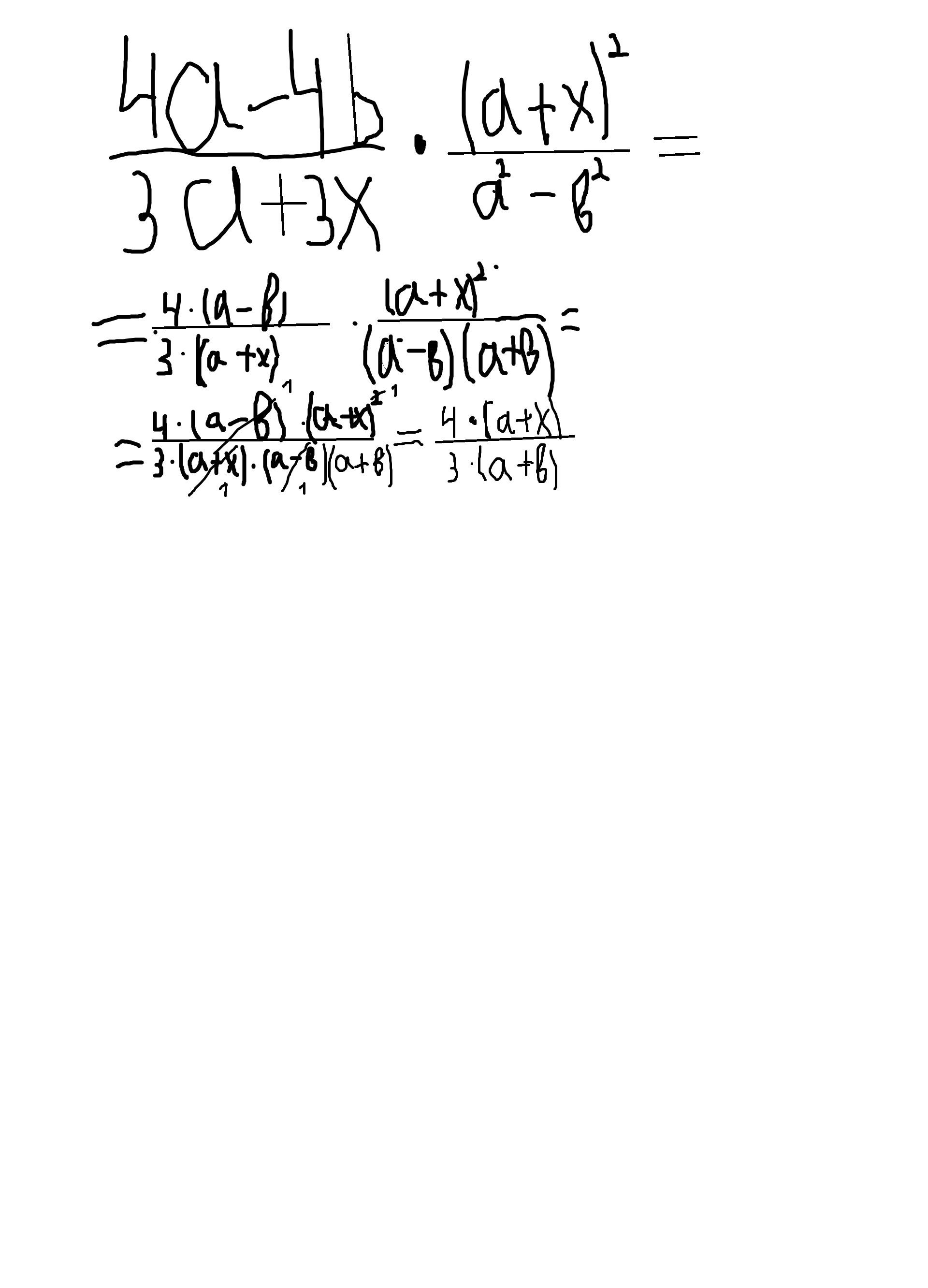
Упростите выражение: 4a-4b/3a+3x×(a+x)^2/a^2-b^2

Приложения:

Ответы

Ответ дал: One11111
0
4(а+х)^2/3(а+х)(а+в)
4(а+х)/3(а+в)
Е)4а+4х/3(а+в)
Ответ дал: максончиик2222
0
вот это тебе поможет

Приложения:
Вас заинтересует